当前位置: 风电网 » 风电资讯 » 正文

海上风电场送出混合线路工频过电压和无功补偿研究

日期:2018-07-17    来源:风电运维

国际风力发电网

2018
07/17
09:27
文章二维码

手机扫码看资讯

关键词: 海上风电运维 海上风电场 电力系统

  全球经济社会迅速发展,能源需求日趋增长,而煤炭、石油等传统能源日趋枯竭,伴随传统能源广泛使用所滋生的环境污染和生态破坏等问题愈发严重。2013年,由国务院印发的关于大气污染防治行动计划的通知中明确提出要加快调整能源结构,增加清洁能源供应,开发利用风能等新能源。我国海上风能资源丰富,且主要分布在经济发达、电网结构较强、又缺乏常规能源的沿海地区。海上风电相比陆上风电具有高风速、高产出、年利用小时数更高等显著优点,加之其不占用土地资源和对环境影响较小,海上风电逐渐成为我国风电产业发展的新趋势。随着海上风电关键技术研发不断突破、建设成本进一步降低,以及国家相关政策大力推动和引导,未来几年,海上风电有望迎来迅速发展的黄金时期。海上风电场在电力输送过程中需采用海底电缆,由于交流电缆具有较大充电功率,特别是高电压、大截面、长距离海缆在过电压保护方面与常规架空线路有很大不同。当前,国内外相关技术领域对海底电缆的过电压研究相对较少,而针对海缆+架空混合线路的过电压研究分析尤其缺乏。从电磁场角度建立海缆的计算模型,针对海上风电场送出混合线路进行工频过电压研究对保证其安全可靠运行十分重要。海上风电场感性无功补偿一般可采用高压并联电抗器(简称高抗)、低压感性补偿、高抗+低压感性补偿三种配置方案;容性无功补偿原则采用动态无功补偿装置。高压并联电抗器是限制工频过电压的主要措施,同时又具备无功补偿的作用。本文基于海上风电场送出混合线路过电压计算分析结果,综合研究海上风电场无功补偿容量,确立无功补偿配置方案,并应用于工程实际,为海上风电场安全可靠经济运行提供设计参考。
 
  1 海上风电场输电系统
 
  海上风电场接入电力系统主要有交流输电和直流输电两种基本方式,其中直流输送方式又分为两类:一类是传统的基于晶闸管换流器(PCC)的直流输电技术;另一类是近些年发展起来的基于电压源变频器(VSC)的轻型直流输电技术。交流输电系统结构相对简单,成本较低,应用较早,技术比较成熟,可靠性较高,是现阶段海上风电场主要采用的输电方式。
 
  本文所研究的海上风电场采用交流输电方式接入电网,主要包括风力发电机组(含机端变压器)、站内汇集线路、海上升压站、送出海缆和架空混合线路,其中站内汇集线路一般采用35 k V电压等级,海上升压站包括升压主变压器和无功补偿装置等设备。图1为采用交流并网方式的典型海上风电场输电系统示意图。
  2 海缆模型及电气参数
 
  本文的主要研究对象为海上风电场送出海缆及架空混合线路,因此,从电磁场角度建立海缆的准确模型是进行仿真分析的必要前提。
 
  海底电缆的电气参数取决于海缆所用的材料和几何尺寸,所以可据此计算得到海缆电气参数。海缆的电气参数主要有导电线芯电阻、绝缘电阻、电感和电容,以及正序阻抗和零序阻抗等,海缆的等效电路如图2所示。其中,R0为单位长度的等效电阻,单位为Ω/km,X0为单位长度的等效电感,单位为m H/km;G0为单位长度漏电导,单位为S/km;C0为单位长度的电容,单位为μF/km。在本文的研究中,考虑到海缆的漏电导很小,不考虑海缆的漏电导。
  与常规电缆相比,海缆不仅要求具备防水、耐腐蚀、抗机械牵拉及外力碰撞等特殊性能,还要求较高的电气绝缘性能和很高的安全可靠性。根据结构不同海缆可分为三芯和单芯电缆,目前电缆厂家提供的典型海缆结构如图3所示。

 
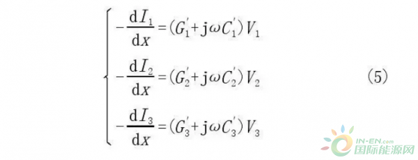
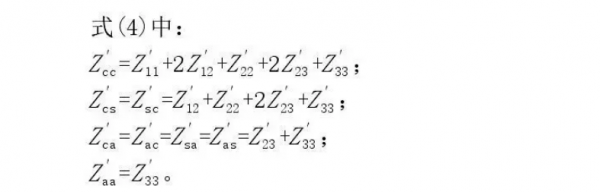
  以单芯海缆为例,可简化为图4所示的海缆参数模拟原理图。单芯电缆的电气参数是按同轴回路方程的形式推导而得,其中回路1由芯导线C与返回电路金属外皮S构成,回路2由金属外皮S与返回电路金属铠装A构成,回路3由金属铠装A和海水SE构成。上述三个回路的串联阻抗可用式(1)三个耦合方程来描述,其中V和I为相应回路电压、电流。
  对图4中电流沿海缆的变化而言,各回路方程彼此是无关的,如公式(5)所示。根据式(1)~公式(5)即可计算得到海缆的电气参数。EMTP/EMTPE软件为用户提供了电缆支撑程序,通过特殊申请字“CABLE CONSTANTS”,便可以计算不同结构电缆的电阻、电感和电容矩阵。
  3 工频过电压和无功补偿研究
 
  3.1 工频过电压
 
  工频过电压在确定系统绝缘水平时起着重要的作用,产生工频过电压的主要原因是空载线路的电容效应、不对称接地故障、发电机突然甩负荷等。由于海缆的与架空线路电气参数上的差异(如海缆线路的电容较大等),海上风电场采用高压海缆和架空混合线路的送出电力时工频过电压情况较纯电缆和纯架空线路更为复杂。
  高压并联电抗器是限制工频过电压的主要有效措施,以带有高抗的空载线路电容效应引起的工频过电压为例,海上风电场输电系统接线示意图如图5所示,可得:
 
  其中,E为系统等效电源,XS为系统电源等值阻抗,XL为并联电抗器,ZC为输电线路特征阻抗, 为输电线路的相位系数,l为输电线路长度。由式(6)可以看出,合理选择高压并联电抗器容量可有效降低输电系统末端电压U2,从而限制工频过电压数值;若不装设并联电抗器,则并联电抗器抗值XL=0。高压并联电抗器的选择以线路补偿度为依据,一般情况下,并联电抗器容量应为输电线路充电功率的60%~70%左右。
 
  实际运行中,不对称短路是输电线路中最常见的故障型式,其中以单相接地故障所占比例最大,因此本文主要针对单相接地、三相断开的故障型式引起的工频过电压进行计算分析。
 
  3.2 无功补偿综合研究
 
  目前,勘测设计行业暂无专门针对海上风电场无功补偿容量的标准或规范。参照GB/T 19963-2011相关规定,风电场的无功补偿容量应按照分(电压)层分(电)区基本平衡的原则进行配置,并满足检修备用要求;对于直接接入公共电网的风电场,其配置的容性无功容量能够补偿风电场满发时场内汇集线路、主变压器的感性无功及风电场送出线路的一半感性无功之和,其配置的感性无功容量能够补偿风电场自身的容性充电无功功率及风电场送出线路的一半充电无功功率。结合海上风电场实际接入情况和电网公司技术管理要求,海上风电场配置无功补偿容量需考虑全部补偿其送出混合线路中海缆部分的容性及感性无功功率。根据上述原则,由海上风电场送出混合线路、升压主变、集电线路和机端升压变等设备电气参数即可计算得到所需补偿感性和容性无功补偿容量。本文已对海上风电场的无功补偿三种配置方式作了简要介绍,由于高压并联电抗器费用昂贵,且运行时必须一直接在线路上,不允许退出。综合考虑经济性和灵活性,高压并联电抗器往往不是海上风电场进行感性无功补偿的首要选择。但若通过输电系统过电压保护计算分析,要求加装高压电抗器以限制工频过电压,则必须基于过电压计算结果中高压并联电抗器的补偿度对前述计算所得无功补偿容量进行修正,得到所需低压无功补偿容量,并最终确立海上风电场无功补偿配置方案。按上述过程确定的海上风电场送出海缆+架空混合线路工频过电压和无功补偿综合计算研究流程如图6所示。
 
  4 案例分析
 
  4.1 计算条件
 
  以江苏某近海风电场为例,风电场采用一机一变方式安装18台单机容量3 MW风电机组和37台单机容量4 MW风电机组,总装机规模202 MW,在海上平台建设220 k V升压站,通过一回220 k V海底电缆和架空混合线路送出电力至陆上某220 k V系统变电站,其中海缆截面为3×500 mm2,长度约12.9 km,海缆结构尺寸参数为:导体直径26.6 mm、导体屏蔽层1.7 mm、绝缘层27 mm、绝缘屏蔽1.2 mm、纵向阻水层1 mm、金属套3 mm、半导电护套3 mm、内衬层3.1 mm、铠装层8 mm、外被层5 mm、总外径251 mm;架空线型号为LGJ-2×630,长度约8 km。图7为工程输电系统示意图。
  4.2 计算分析过程
 
  首先,根据表1中三芯海缆的几何尺寸,利用EMTP/EMTPE电缆支持程序计算海缆的电阻、电感和电容矩阵,得到海缆的计算模型。建立输电系统等值电路示意图,如图8所示,其中S1、S2分别为系统220 k V变电站和海上风电场220 k V升压站等值电源,ZS1和ZS2分别是对应的等值电源阻抗,输电线路由海底电缆和架空混合线路组成。
 
  考虑风电场三种典型出力方式(100%、60%和10%最大出力),针对送出混合线路一侧单相接地、三相断开的故障型式进行工频过电压计算,计算结果如表1所示。


 
  根据相关规定,对于220 k V系统工频过电压一般按线路断路器的变电站母线侧不超过1.3 p.u.及线路断路器的线路侧不超过1.4 p.u.考虑。由表2可见,本工程输电系统工频过电压计算结果均低于限值,因此无需采取加装高压并联电抗器来限值工频过电压。
  根据本文所确定的无功补偿综合原则,结合变压器和线路等相关设备实际参数,进行工程无功补偿容量计算,详见表2。其中,感性无功缺额考虑能够补偿站内35 k V汇集电缆、220 k V送出海缆容性充电功率及220 k V送出架空线路的一半充电无功功率;容性无功缺额考虑能够补偿海上风电场满发时站内35 k V汇集电缆、220 k V升压主变压器、35 k V机端升压变、220 k V送出海缆的感性无功及220 k V送出架空线路的1/2感性无功之和。
 

 
  按本文提出的无功补偿综合计算方法,本工程无需加装高压并联电抗器,则最终可确定本工程需配置不低于6.8 Mvar的容性无功补偿装置及不低于37.2 Mvar的感性无功补偿装置,无功补偿装置需具备动态调节能力。
 
  5 结语
 
  海上风电场是我国新能源领域未来投资和建设的热点。针对海上风电场送出高压海缆和架空混合线路的输电系统,本文首先从电磁场角度研究确立海缆计算模型,接着运用EMTP/EMTPE仿真软件建立输电系统模型,对系统工频过电压进行计算分析,根据计算结果确定是否需加装高压并联电抗器,最终综合无功补偿容量计算结果确定无功补偿配置方案。以江苏某近海风电场为例研究介绍了风电场送出海缆及架空混合线路的工频过电压和无功补偿综合计算方法,研究结论可为海上风电场的安全、经济和可靠运行提供设计参考。需要说明的是,由于目前实际工程中相关技术能力和管理经验欠缺,无功补偿暂未考虑风电机组的动态调节能力,否则需根据风电机组的无功容量对无功补偿计算结果和最终无功补偿配置方案进一步进行调整和完善。
返回 国际风力发电网 首页

风电资讯一手掌握,关注 风电头条 储能头条 微信公众号

看资讯 / 读政策 / 找项目 / 推品牌 / 卖产品 / 招投标 / 招代理 / 发文章

风电头条

储能头条

0条 [查看全部]   相关评论

国际能源网站群

国际能源网 国际新能源网 国际太阳能光伏网 国际电力网 国际风电网 国际储能网 国际氢能网 国际充换电网 国际节能环保网 国际煤炭网 国际石油网 国际燃气网