自2013年以来,国家能源局采取了一系列政策措施,包括发布风电、可再生能源和能源的“十二五”、“十三五”规划等,推动产业持续健康发展。2014年至2016年,全国新增风电并网容量分别为:1449 万千瓦、3075万千瓦、2337万千瓦。
尽管如此,风电行业仍存在一定可优化的空间,仍有许多待解决的问题挑战;仍需要全体风电人的不懈努力;仍有一些问题值得思考和探究。本文正是在这样的背景下,展开讨论。通过构建“HHI指数”(赫芬达尔—赫希曼指数),分析风电行业自身的市场特征。
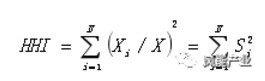
赫芬达尔—赫希曼指数,是一种测量产业集中度的综合指数。它是指一个行业中各市场竞争主体所占行业总收入或总资产百分比的平方和,用来计量市场份额的变化,即市场中厂商规模的离散度。在计算过程中,是用某特定市场上所有企业的市场份额的平方和来表示,其公式为:
其中:wpsB55B.tmp.png为市场的总规模;wpsB56C.tmp.png为第wpsB57C.tmp.png个企业的规模;wpsB57D.tmp.png为第wpsB57E.tmp.png个企业的市场占有率;wpsB57F.tmp.png为该行业内的企业个数。
以HHI值为基准的市场结构分类,一般而言,HHI值应界于0与1之间,但通常之表示方法是将其值乘上10000而予以放大,故 HHI应界于0到10000 之间。美国司法部(Department of Justice)利用 HHI作为评估某一产业集中度的指标,并且订出下列的标准:以HHI值为基准的市场结构分类(见表1)。显然,HHI越大,表示市场集中程度越高,垄断程度越高。
表1 以HHI值为基准的市场结构分类
利用HHI测量某一行业的市场集中度,不仅能反映市场内大企业的市场份额,而且能反映大企业之外的市场结构,因此,能更准确地反映大企业对市场的影响程度。并且,由于HHI值对规模较大的上位企业的市场份额反映比较敏感,而对众多小企业的市场份额小幅度的变化反映很小,因此,HHI指数对规模较大的前几家企业的市场份额比重的变化反应特别敏感,能真实地反映市场中企业之间规模的差距大小,并在一定程度上可以反映企业支配力的变化。
根据上述分析可知,HHI指数是产业市场集中度测量指标中较好的一个,也是经济学界和政府管制部门使用较多的指标。本文试图利用HHI指数计算风电行业的市场集中度。表2、3、4分别为近三年中国
风电整机制造企业新增装机容量情况分布表。
表2 2014年中国风电整机制造企业新增装机容量(万千瓦)

根据近三年的中国风电整机制造企业新增装机容量可见,行业前十名企业的市场份额已达到了80%以上,可初步判断该行业为非完全竞争行业;同时,利用HHI指数的计算原理,可进一步得2014年---2016年风电行业前十企业的HHI指数情况如下所示(见表5)。
表5 2014—2015年风电制造企业的HHI指数分布情况

结合HHI指数的划分原则,可看出,风电行业的市场集中度呈现出逐年上升的趋势。其2014年的HHI指数的值为835.13仍落在竞争(Ⅰ型)的范围内,此时市场结构仍为竞争型;随着时间的推移,2015年和2016年的HHI指数值不断增加,已落入了1400>HHI≥1000的区间内,可见,此时风电行业的市场结构为寡占型(低寡占(Ⅱ型))。
综上所述,本文通过构建“HHI指数”,对比近三年的风电行业的市场集中度的变化情况,指出风电行业由于对技术、资本等方面的特殊要求,市场准入条件较高,属于多寡头垄断市场。需要指出的是,关于风电行业的行业特征等方面的研究,还有待进一步深入探讨。