风力发电作为清洁能源,具有显著的社会和环保效益,是我国推进能源转型的核心内容和应对气候变化的重要途径,也是我国深入推进能源生产和消费革命、促进大气污染防治的重要手段。大力发展海上风电对于推动我国可再生能源发展有着重要意义。在世界新能源发展的大潮流中,节能是大家共同关注的热点问题,也是新能源技术进步的重大标志,是实施可持续发展战略的一个关键环节,从分析研究现有海上风电场节能工作现状入手,把握节能工作中存在的问题,并设法解决,才能推进我国海上风电的顺利开展。
海上风电场主要用能设备能耗及节能分析
风力发电是将自然界的空气动能转化为机械能进而转化为电能的过程,期间不消耗水,耗电量有限,且几乎全部来源于自发电能。耗电包括风电机组运行和控制用电,升压变压器的损耗,场内集电线路的线损,升压站内的电气设备耗电和主变压器的损耗,以及维持风电场运行的监控设备和辅助生产和附属生产设施耗电等; 少量耗能品种为柴油、汽油,耗油设备为运维检修车。
以福建省平潭大练海上风电场为例,该项目总装机规模为300MW,共布置60台5MW风电机组。主要工艺流程为: 风力发电机组捕获风力资源将之转换为电能,风力发电机组出口电压为0. 69kV,经箱变升压至35kV,由35 kV 集电线路接入风电场220kV升压站的35kV配电装置,再经升压后由220kV架空线接入电网。经计算,平潭大练海上风电场总损耗为2094.98× 104kWh,年发电量为99896.91×104kWh,风电场电能损耗占总发电量的2.10%。平潭大练海上风电场主要电能损耗见表1。

从消费量来看,平潭大练海上风电场节能的关注重点为35 kV 集电线路及风机升压变能耗。下文对35 kV 海底电缆及风机升压变压器的节能做具体分析。
◆1. 1 35 kV 海缆能耗及节能分析
交联聚乙烯绝缘( XLPE) 电力电缆具有较好的电性能与物理性能,有优异的热稳定性和老化稳定性,正常运行温度可高达90℃,事故短路可高达250 ℃,能够输送较大的负荷。同时XLPE 电缆可耐小半径弯曲,重量轻、安装简便及安全可靠,与充油及油纸绝缘电缆相比,其接续与终端处理也比较容易,因此安装费用较低廉,从安全及环境保护来看,交联聚乙烯绝缘没有油料渗漏以及防爆性能较好的优点。
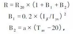
平潭大练海上风电场集电线路采用35 kV 海缆,型号选用成熟的铜导体3 芯交联聚乙烯绝缘分相铅护套钢丝铠装光复合海底电缆。导线考虑负荷电流引起的温升及周围空气温度对电阻变化的影响修正公式为:

式中,R20为导线在20℃时的电阻值,I yx为周围空气温度为20℃时,导线达到容许温度时的容许持续电流,a = 0. 004,Tav为计算期的平均气温。平均温度为12 ~ 28℃时,可不进行B2的修正。平潭大练海上风电场所处地区平潭海域年平均海水表层水温19. 4 ~ 20. 1℃,可换算35kV 海缆的修正电阻。
以35 kV 海缆HYJQ41 - 3 × 95 mm2 为例, 20℃导体最大直流电阻R20为0. 193 Ω/km,海床敷设时载流量I yx为335A; 海缆长度L 为7. 20 km; 电缆平均通过电流为I jf为82. 48A; 项目年损耗时间τ为1 415 h。海缆的附加损耗系数取k为1. 35。根据△A = 3 × I jf2 × R × τ × k × 10 - 3 = 3 × 82. 482 A× 0. 193 Ω/km × ( 1 + 0. 2 × ( 82. 48A/335A) 2 ) × 7. 20 km ×1415 h × 1. 35 /1000 /10000 = 5. 48 万kWh; 其他截面电缆同此算法。
由此可得35 kV 集电线路海缆能耗量为769. 77 × 10 4kWh,占整个项目电能年损耗的37%,降低该部分的电能消耗对整个项目的节能意义较大。要想有效地降低损耗,除采用涡流损耗小的交联聚乙烯绝缘( XLPE) 电缆外,如何减少海缆的长度成为重中之重。在实际工程中,集电线路海缆路径采用拓扑结构选择链形和星形混合方案接线,路径避免迂回; 海上风电场升压站的选址尽量靠近风机布置的中心位置,同时在每台箱式变压器35 kV 海缆接口处朝向集电线路方向设置J 型管,可有效减少每段电缆长度约20 m,从而减少0. 6%的能耗。
◆1. 2 35 kV 箱式升压变压器能耗及节能分析
目前适合国内需求的35 kV 变压器一般有S9 型及S11型,考虑到海上风电场设备运行环境较差、盐雾重,可采用环氧树脂浇注的干式变压器。平潭大练海上风电场每台风机配套安装1 台35 kV 升压变压器。选用变压器型号为SCB11- 5600 /37,额定空载损耗为8. 72 kW/台,额定负载损耗为36. 32 kW/台; 额定容量S N为5. 6 MVA; 风机额定功率P 为5000 kW,风电场年运行小时数T 为8 500 h。
风机平均负载率β = P/( S N /cosΦ) = 5000 kW/( 5600MVA/1) = 0. 89
单台变压器年损耗电量: E = P0 × T + β2 × P k × τ= 8. 72 kW × 8500 h + 0. 89 2 × 36. 32 kW × 1415 h= 11. 48 × 10 4 kWh
60台升压变损耗为: 60 × E = 60 台× 11. 48 × 10 4 kWh =688. 8 × 10 4 kWh。
因此,要降低箱式升压变压器的损耗,就要从变压器的空载损耗和负载损耗入手。空载损耗又称铁损,是由铁芯的涡流损耗及漏磁损耗组成,是固定不变的部分,大小随矽钢片的性能及铁芯制造工艺而定,所以变压器应选用节能型,如S11 型变压器,这类型的变压器采用优质冷轧取向矽钢片,由于“取向”处理,使矽钢片的磁性方向接近一致,以减少铁芯的涡流。负载损耗又称线损、铜损,与变压器自身的绕组及通过的电流大小有关,因此推荐采用铜芯变压器,可减少绕组的阻值。另一方面,如何降低风机的平均负载率也是值得探讨的问题,如果只是单纯为了降低负载率而选用大容量的变压器,仅仅是减少了变压器的线损,但并没有降低变压器的铁损。所以合理控制变压器的负载率,选择与风机容量相配套的节能型铁芯变压器,才能起到节能的效果。
海上风电场可采取的节能措施
◆2. 1 工艺方案节能措施
1) 海上风电机组可以根据地形及风资源分布优化布置,在尾流条件下,尽量集中布置,以提高风电场发电效益,减少占海面积,充分利用海域以及地区风力资源。
2) 集电线路根据风机的布置进行优化,减少路径长度。
◆2. 2 工艺设备节能措施
工艺设备中主要耗电设备为风电机组、升压变压器、主变压器、35 kV 海缆。
1) 对于风电机组应选择合适的润滑油,提高传动效率;增加对易故障设备的冗余配置,减少风电机海上故障时间。
2) 升压变压器采用铜绕组,减少设备损耗,条件允许时采用非晶合金的升压变压器。
3) 主变压器选用节能低损耗型变压器,以提高变压器效率。
4) 35 kV 海缆在条件允许情况下考虑三芯电缆,如采用单芯电缆建议采用铜丝铠装,减少附加损耗。并考虑J 型管引上口方向,减少电缆长度。
◆2. 3 辅助系统节能措施
1) 配电系统接线可进一步选择负荷中心作为供电中心,减少电缆长度。所选择灯具宜采用LED 灯具降低能耗,对走道、户外灯照明宜采用声光控制。
2) 给排水系统宜增加自动启停装置,控制水泵启停,以达到节能目的; 同时采用变频调速的方式进行控制。同时应配置太阳能热水器等装置,达到有效利用热能的目的。全部卫生器具应采用节水型产品。
3) 通风空调系统宜设置自动控制系统,以便按照环境温度自动启停相关设备,达到最佳节能。过渡季节利用室外空气进行通风换气,减少空调的使用; 增强采暖建筑保温措施,提高门窗的气密性,防止空气对流传热,减少空调使用频率。
4) 建筑设计时可进一步控制建筑形体,选择合适的保温材料,充分利用自然光和自然通风,加强绿化等措施。
小结
本文以福建平潭大练海上风电场为例对海上风电场的主要用能设备的能耗及风电场节能措施进行了分析。分析的方法是在主要用能设备能耗的计算过程中寻找影响能耗的关键节点,结合实际的工程特征和市场上广泛采用的设备特点及技术,寻找出切实有效的可以降低能耗的方法。并对海上风电场工艺方案、工艺设备、辅助系统进行节能措施的简要论述。
切换行业




正在加载...



